摘要:回弹法、超声回弹综合法、钻芯法这3种混凝土强度检测方法是目前工程检测中应用最广泛的混凝土强度检测技术。通过在3个具体工程的检测中使用 3 种检测方法的应用与比较分析,围绕3种混凝土强度检测方法的精确度、如何选用混凝土强度检测方法等问题进行探讨。
关键词:回弹法;超声回弹综合法;钻芯法
引言
我国的基建行业尽管受宏观调控政策的影响,新建与加固改造的投资比例呈波浪式变化,但从总体上看,正逐步的走出第二阶段,建设部的科研规划也根据此进行了相对的调整。据保守估计,我国现有的60多亿㎡房屋建筑面积中,40%以上需要分期分批的进行鉴定、改造和加固而工程结构检测、鉴定是加固改造必要的数据基础,对了解建筑物现有的承载能力、老化损伤程度、安全性,加固改造的可行性以及成本控制起着关键作用。
钻芯法、回弹法及超声回弹综合法,是已建结构的混凝土力学性能检测的适用、方便、可靠的方法。本文根据笔者多年的理论与实践经验,分别对三种方法进行分析。
一、混凝土强度检测技术分析
1.钻芯法
钻芯法是利用专用钻芯机从被检测的结构或构件上直接钻取圆柱型的混凝土芯样,并根据芯样的抗压试验强度来推定混凝土的抗压强度,是较为直观可靠的检测混凝土强度或观察混凝土内部质量的局部半破损现场检测方法。在已建混凝土结构上钻取芯样进行抗压强度试验是目前构件内部状况直观检验和强度评定的最好方法。芯样试件在进行抗压强度试验后,常被用作化学分析和物理性能分析的样品,有如水泥成份,还可以作为混凝土密度、吸水性,以及用劈裂法间接试验测定抗拉强度、变形特征等。钻芯法为许多国家所采用,俄罗斯、美国、英国、日本、法国等都制定了各自的标准,国际标准化组织也提出了相应国际标准草案(ISO/D IS7034)。我国已于 1988 年颁布了《钻芯样法测定结构混凝土抗压强度技术规程》(YBJ209-86),《钻芯法检测混凝土强度技术规程》(CECSO3:88)。
2.芯样的外观检查
每个芯样对其骨料种类的大小、特征和级配状况作出描述,对其它要求记录的特征,有如骨料的分布、蜂窝麻面、裂缝缺陷以及钻取时受到的损坏等也应记录和测绘。另外板面钻芯样可以在验证板找平层和装饰面层厚度和质量,还可以通过钻芯取样验证结构裂缝时的贯穿性等。
3.密度测量
芯样的密度,建议在可靠性鉴定或安全性鉴定中都应进行测量,具体方法建议如下:
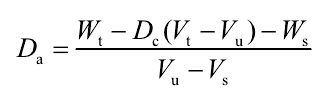
(1)采用适当方法测定芯样体积 Vu,有如采用测量法和排水法等;
(2)测量芯样材料的比重 Dc;
(3)芯样试验前,分别在大气中和水中称量,毛重为 Wt、体积为 Vt;
(4)如果芯样内含有钢筋时,应在试压后取出,并测量其重量Ws和体积 Vs⑸按下式计算混凝土的密度 Da。.png)
不含钢筋时 Ws和 Vs均为零。
通过芯样的密度测量,按规范规定值比较其混凝土施工质量、饱和状态密度及孔隙度等。
二、钻芯法检测技术要点
钻芯法是从结构上直接钻取混凝土芯样,按取样标准和试验方法标准来进行压力试验,通过试验出的结果来评定结构强度的等级,在检测过程中也有可能会对其结构造成局部破损,但信息直接和真实可信,是不需转换,试验方法极简单。
1.相关依据
(1)钻芯法检测混凝土强度技术规程(CECS03:88)
(2)钻芯样法测定结构混凝土抗压强度技术规程(YBJ209-86)
(3)建筑基桩检测技术规范(JGJ106-2003)
2.应用范围
(1)从混凝土结构中钻芯样,测定普通混凝土的强度。
(2)检测现浇(钻(冲)孔、人工挖孔)混凝土灌注桩成孔质量:桩身混凝土质量,桩底沉渣,桩端持力层,桩长、沿高度强度测定评定其强度分布。
(3)在非破损的检测中用作修正、验正,甚至仲裁。
(4)其他应用,如:受冻层深度检测;裂缝深度检测;缺陷探测;火灾烧损层检测。
3.钻芯位置
(1)受力较大的部位,安全度不足的构件截面不能钻芯;构件的接头和构件的边缘,混凝土的应力复杂,不宜钻芯,适宜在构件的中部钻芯。相同条件的构件,一般选取在基础、墙、柱上钻芯,尽可能不在梁上钻芯。
(2)借助磁感仪避开结构的钢筋,尤其是主筋,避开预埋件或管线。
(3)选取混凝土强度质量具有代表性的部位。
(4)用于非破损法修正时,应在非破损测试区或接近非破损测试区。
3.芯样强度的影响因素
(1)端面平整度对强度的影响:
在端面出现不平整的情况下,就会降低强度,向上凸起比向下凹引起的应力集中更大,影响力更大,应该要控制在第 100mm 长度内不得大于 0.1mm。
不宜采用垫平材料:纸板、铝板等横向应形大,减低强度。
找平法:材料为水泥净浆、水泥砂浆、硫磺胶泥,对找平层的要求:找平层与端面良好粘结,找平层强度高于芯样强度;找平层厚度:水泥净浆、水泥砂浆层不大于 5mm,硫磺胶泥层不大于 1.5mm。
(2)端面与轴线之间垂直度偏差对强度的影响偏差过大,降低强度。垂直度偏差应控制在 2°以内。
(3)芯样含有钢筋的影响原则:不允许存在垂直于受压面的钢筋,如有钢筋尽可能靠近试件端部。
处理方法:尽量把含有钢筋的一端锯掉,如无法避开,锯切时应使钢筋靠近端头而不露出端面。每个试样内最多只允许含有二根直径小于 10mm 的钢筋,且与轴线基本垂直不外露。
(4)芯样尺寸和高径比的影响:芯样直径应大于或等于粗骨料最大粒径的三倍,至少不小于二倍,芯样直径小而粗骨料粒径大的芯样强度的离散性大。高度与直径均为100mm 的芯样与边长为 150mm 的立方体试块受压时应力分布较为一致,强度接近。
芯样强度与立方体强度之比值,随高径比的增加而减少,不同高径比的芯样试件换算成标准高径比的芯样试件强度时,需乘以修正系数,高径比低于0.95 或大于2.05 时,不能用作抗压试验。
三、回弹法(表面硬度法)
混凝土表面硬度与混凝土强度因素有关的多种之一。在很早之前二十世纪与三十年代就已经记载测试混凝土硬度的各种各样的尝试,混凝土表面硬度试验,通过采用一个标准质量的重物,在被激发的标准动能推动下,撞击混凝土的表面;然后,测量混凝土表面上形成的刻痕大小来确定混凝土的硬度或强度,后来改为量测弹簧撞击混凝土表面后的回弹高度,以反弹距离与弹簧初始长度之比作为与强度相关的指标来推定混凝土强度的一种方法。
瑞士工程师厄恩斯特·史密德(Ernst Schmidt),在 1948 年首先研制一种实用型的回弹试验锤,他的基本原理已被现代型回弹仪所采用。
1.回弹法的特点
(1)回弹法的特点:仪器构造简单,方法易于掌握。(2)工作灵活性大,一般可选择在任何部位测试。(3)适用于施工现场对混凝土质量的监控,不适用于龄期超过1000天的混凝土强度测试,碳化深度大的混凝土强度测试误差较大,必须进行碳化深度测试修正。(4)回弹法的质量情况是反映混凝土表面层30mm厚范围内,当表面与内部质量存在差异时就不适用了,应采用钻芯法
2.检测要点
回弹仪测读值对混凝土表面局部性差异很敏感,特别有骨料颗粒的地方更突出,因此在每个测区上必须读若干个数,取其平均值。国内和国外规范规定:一个测区的面积不宜大于 0.04m2,测点间距和边缘的最小距离不得小于 20mm。测点应均匀、同一测点允许弹击一次。
3.测区回弹值的计算
《回弹法检测混凝土抗压强度技术规程》(JGJ/T23-2001)规定,在一个测区中的 16 个回弹值中剔除 3 个最大值和 3 个最小值、然后将余下的 10 个回弹值按下式计算。
式中Rm 为测区平均回弹值,计算至0.1;R为每i个测点的回弹值。
4.超声回弹综合法的特点
⑴ 与单一法相比能较全面反映混凝土质量
回弹法只能以混凝土表面弹性的特征来反映混凝土强度。当混凝土内外质量基本一致时其相关性较好,但当混凝土强度较低时,其塑性变形较大,回弹值不太敏感;所以回弹法难以全面反映结构混凝土实际强度。
(2)在通过对混凝土超声波传播速度和表面回弹值之间存在统计相关的关系,检验已建旧有结构混凝土抗压强度,兼有超声法和回弹法的这两个优点。同时也能提高了测试的精度。
(3)同时受混凝土龄期和表面碳化的影响、混凝土内部微裂缝以及卵石、碎石骨料等条件影响,采用超声回弹综合法时,这些不利因素可相互抵消或减小,从而提高了测试的精度。
(4)要求测试结构的两个相对的可测面,测试数据受耦合条件和钢筋影响比较明显,对测试人员技术素质要求较高。
超声法是基于超声脉冲波在混凝土中传播速度与混凝土抗压强度之间相关的关系,超声波可以穿透整个断面,并且能比较全面反映被测部位的混凝土质量。
超声回弹综合法所测定的强度,既能反映混凝土的弹性,又能反映混凝土的塑性;并且能反映表面状态,又能反映出内部构造,这就是内外的结合,故能较全面反映出结构混凝土的质量,而单一法的不足需要在混凝土较低与较高强度之间得到更好的弥补。
(5)抵消或减少某些因素的影响,提高测试精度
在通过某一物理参数推定的混凝土强度就是所指定的单一法,其中测试的精度所受到的影响都是不同的。如超声法除受骨料影响之外,还会与龄期和含水量有着关联;回弹法除了受表面状态影响之外,也会受到龄期和含水量的影响。如含水量随着龄期不断的增长、混凝土强度增长而减小、但声速也会慢慢的增大,混凝土含水量减少声速的同时也就会跟着降低,而对回弹值来说就刚好恰恰相反;回弹值随着混凝土强度增长而会跟着不断的增加,同时在混凝土表层水份减少和碳化影响,会使回弹值偏高,所以在工作人员操作的过程中要谨慎。
通过采用超声回弹综合法,可以减少甚至抵消不利因素,从而提高可信度、降低测试误差,大大简化在不同条件下的修正。但采用超声回弹综合法,将会增加测试工作量,对工作人员造成繁重的负担。
4.基本原理
超声仪和回弹仪采用的就是超声回弹综合法,在结构混凝土同一个测区分别测量声时值及回弹值R,然后利用已建立起来的测强公式推算混凝土强度的一种方法。
那么如果增加了一个物理参量就会使测强曲线的建立与回弹法相似,只是,一般会选用二元回归幂函数方程作为测强曲线。
四、超声回弹综合法在工程检测中遇到的问题及解决办法
超声回弹综合法是根据实测声速值和回弹值综合推定混凝土强度的检测方法。使用超声回弹综合法测定混凝土强度,既能反映混凝土的弹性,又能反映混凝土的塑性;既能反映表面状态,又能反映内部构造,内外结合,故能较全面反映结构混凝土的质量。但实际现场操作中,特别是已建结构的检测中使用超声回弹综合法测强,对检测人员要求较高,操作稍有偏差就会给检测数据带来许多影响。
⑴碳化深度的影响
在回弹法测强中,碳化对回弹值有显著影响,因而必须把碳化深度作为一个重要参量。但是,试验证明,在综合法中碳化深度每增加 1mm,用回弹值、声速关系推算出来的混凝土推定强度仅比实际强度高 0.6%左右。为了简化修正项,在实际检测中基本上可不予考虑碳化因素。
⑵测试面的位置及表面平整度的影响
采用钢模或木模施工时,混凝土的表面平整度明显不同,采用木模浇筑的混凝土表面不平整,往往会影响到超声波发射头的耦合,因而回弹值偏低况且使声速也偏低。但这一影响与木模的平整程度有关,就会很难用一个统一的系数来修理,因此应该对不平整表面需要进行磨光处理。
在混凝土浇筑上表面或底面进行测试时,其声速与回弹值均与侧面测量时不同是由于石子离析下沉以及表面泌水、浮浆等因素的影响。若以侧面测量为准,上表面或底面测量时对声速及回弹值均应进行修正。
已建工程的房屋中限制要求多,所以现场操作反而难度较大,在每个构件里根据规范来就必须铲出10个测区,在已经装修的房屋,业主几乎均不同意选择一定数量的构件铲出如此多的测区面。
⑶超声回弹综合法对遭受冻伤、化学腐蚀、火灾、高温损伤的混凝土,及环境温度低于-4℃或高于 60℃的情况下是不宜使用。总之,凡是不能进行回弹法或超声单一参数检测的工程,综合法也不宜使用。
⑷在现场操作时,探头安放位置不宜与弹击点重叠,并且超声的测试点应布置在同一个测区的回弹值测试面上,每个测区内都要在相对测试面上对应地布置3 个测点,相对面上的收发探头要在同一轴线上。不同测区的测值不可混淆,只有在同一个测区内所测得的回弹值和声速值才能作为推算强度的综合参数。
结束语
钻芯法、综合法、回弹法等是用物理量间接推算强度的方法,所推算的强度标准差包含两个部分:一部分来自混凝土本身因质量变异所带来的标准差,另一部分来自用物理量间接推算强度时,基准曲线所固有的误差。因此,标准差应比预留试块所计算的标准差偏大,也就是说推定强度偏低但是偏于安全。
参考文献:
[1] 宋双阳.混凝土强度非破损检测技术研究 [D].天津:天津大学建筑工程学院,2008
[2] 王玉倩.混凝土强度检测技术在建筑工程中的应用研究[D].湖南:湖南大学土木工程学院,2007.
[3] 中华人民共和国国家标准.混凝土结构工程施工及验收规范(GB50204-2002)[S].北京:中国建筑工业出版社,2002,35-36.
[4] 卓尚木.钢筋混凝土结构事故分析与加固 [ M ] .北京:中国建筑工业出版社,1997:226-361.
[5] 中华人民共和国国家标准.混凝土强度检验评定标准(GBJ10787)[S].北京:中国计划出版社,1987,2-5.
论文作者:黎伟君
论文发表刊物:《基层建设》2016年14期
论文发表时间:2016/10/27
标签:混凝土论文; 强度论文; 综合法论文; 超声论文; 表面论文; 测试论文; 声速论文; 《基层建设》2016年14期论文;
